Pulse Insight News

Your trusted source for timely news and insightful analysis on global events, technology, and culture.

culture

Which are phosphorylated biomolecules?

Writer Christopher Green

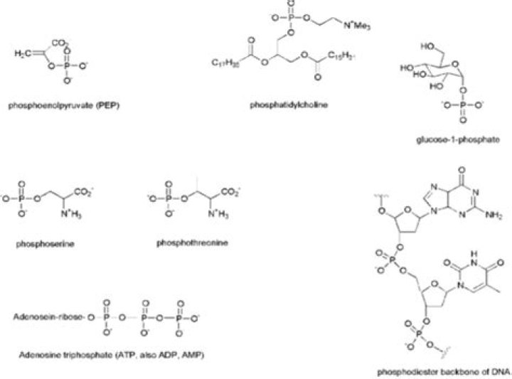
Most reactive phosphorylated biomolecules are active participants in cellular (often energy) metabolism, and include so-called “high energy” biomolecules such as phosphoenolpyruvate, acetylphosphate, phosphocreatine (bound through a nitrogen atom), and 1,3-diphosphoglycerate (Fig. 3.1a).

What are the three types of phosphorylation?

Three of the most common forms of phosphorylation are:
  • Glucose phosphorylation.
  • Protein phosphorylation.
  • Oxidative phosphorylation.

What is phosphorylation with example?

Phosphorylation: A biochemical process that involves the addition of phosphate to an organic compound. Examples include the addition of phosphate to glucose to produce glucose monophosphate and the addition of phosphate to adenosine diphosphate (ADP) to form adenosine triphosphate (ATP).

Which residues can be phosphorylated?

Phosphorylation can occur on serine, threonine and tyrosine side chains (often called 'residues') through phosphoester bond formation, on histidine, lysine and arginine through phosphoramidate bonds, and on aspartic acid and glutamic acid through mixed anhydride linkages.

What are the types phosphorylation in biology?

Phosphorylation Definition

In biological systems, this reaction is vital for the cellular storage and transfer of free energy using energy carrier molecules. ... The conversion of ADP to ATP can occur through two kinds of phosphorylation: oxidative phosphorylation and substrate-level phosphorylation.

Biomolecules (Updated)

21 related questions found

What are the 3 kinds of phosphorylation involved in ATP synthesis?

Depending on the type of organism, cells transfer energy and generate ATP by photophosphorylation, substrate-level phosphorylation, and/or oxidative phosphorylation.

What is phosphorylation in glycolysis?

In the first step of glycolysis, the glucose ring is phosphorylated. Phosphorylation is the process of adding a phosphate group to a molecule derived from ATP. ... The reaction occurs with the help of the enzyme hexokinase, an enzyme that catalyzes the phosphorylation of many six-membered glucose-like ring structures.

Which amino acids are phosphorylated?

The amino acids most commonly phosphorylated are serine, threonine, tyrosine in eukaryotes, and also histidine in prokaryotes and plants (though it is now known to be common in humans). These phosphorylations play important and well-characterized roles in signaling pathways and metabolism.

Where are amino acids phosphorylated?

While phosphorylation is a prevalent post-translational modification (PTM) for regulating protein function, it only occurs at the side chains of three amino acids, serine, threonine and tyrosine, in eukaryotic cells.

Why tyrosine can be phosphorylated?

Tyrosine phosphorylation is the addition of a phosphate (PO43) group to the amino acid tyrosine on a protein. It is one of the main types of protein phosphorylation. This transfer is made possible through enzymes called tyrosine kinases.

What means phosphorylated?

transitive verb. : to cause (an organic compound) to take up or combine with phosphoric acid or a phosphorus-containing group.

What is a phosphorylated kinase?

Protein kinases (PTKs) are enzymes that regulate the biological activity of proteins by phosphorylation of specific amino acids with ATP as the source of phosphate, thereby inducing a conformational change from an inactive to an active form of the protein.

What are the examples of substrate-level phosphorylation?

Examples of substrate-level phosphorylation are the removal of inorganic phosphates from 1,3-biphosphoglycerate or phosphoenolpyruvate to form 3-phosphoglycerate or pyruvate, respectively, as well as ATP.

What is phosphorylation Class 11?

Phosphorylation is the process by which a phosphoryl group attaches to the molecules. Dephosphorylation also occurs in the cells which is the removal of phosphate groups from the molecules. Both of these processes play a very important role in cellular processes.

What is phosphorylation AP Bio?

Phosphorylation is the process through which a phosphate group is transferred from one molecule to a protein, usually within a biological system. A protein being phosphorylated is like drinking a Red Bull before a workout - it prepares a molecule for some specialized task.

Is glycolysis substrate level phosphorylation?

The reactions of glycolysis convert glucose to pyruvate. ... These reactions are examples of substrate-level phosphorylation and are highlighted in yellow.

Which amino acids are hydrophobic?

Hydrophobic Amino Acids

The nine amino acids that have hydrophobic side chains are glycine (Gly), alanine (Ala), valine (Val), leucine (Leu), isoleucine (Ile), proline (Pro), phenylalanine (Phe), methionine (Met), and tryptophan (Trp).

Which amino acids are glycosylated?

Glycosylation can occur on amino acids with functional hydroxyl groups, which are most often Ser and Thr. In humans, the most common sugars linked to Ser or Thr are GlcNAc and N-acetylgalactosamine (GalNAc)7 (Fig. 1).

Why is glucose phosphorylated?

The major reason for the immediate phosphorylation of glucose is to prevent diffusion out of the cell. The phosphorylation adds a charged phosphate group so the glucose 6-phosphate cannot easily cross the cell membrane.

What amino acids Cannot be phosphorylated?

Many other amino acids could also be phosphorylated.. It looks like you chose Ala for an answer. Ala cannot be phosphorylated.

How is histidine phosphorylated?

Phosphorylation of histidine's imidazole nitrogen atoms (N1 or N3) forms high-energy phosphoramidate (P-N) bonds in contrast to the more stable phosphoester bonds (P-O) formed when serine (Ser), threonine (Thr) and tyrosine (Tyr) are phosphorylated.

Can lipids be phosphorylated?

Lipid kinases. Lipid kinases phosphorylate lipids in the cell, both on the plasma membrane as well as on the membranes of the organelles. The addition of phosphate groups can change the reactivity and localization of the lipid and can be used in signal transmission.

Which is formed through phosphorylation in glycolysis?

Glycolysis is a cytoplasmic pathway which breaks down glucose into two three-carbon compounds and generates energy. Glucose is trapped by phosphorylation, with the help of the enzyme hexokinase. Adenosine triphosphate (ATP) is used in this reaction and the product, glucose-6-P, inhibits hexokinase.

What reaction is catalyzed by aldolase?

Aldolase is a glycolytic enzyme that catalyzes the conversion of fructose 1-6-diphosphate to glyceraldehyde 3-phosphate and dihydroxy-acetone phosphate via the glycolysis metabolic pathway.

What happens when a molecule is phosphorylated?

phosphorylation, chemical process in which a phosphate group is added to an organic molecule. ... The energy released during metabolic or photosynthetic processes is captured in the energy-rich phosphate bonds of certain molecules, most commonly in the high-energy bonds of adenosine triphosphate (ATP).